Доставка любой диссертации в формате PDF и WORD за 499 руб. на e-mail - 20 мин. 800 000 наименований диссертаций и авторефератов. Все авторефераты диссертаций - БЕСПЛАТНО

Семенко, Валерий Алексеевич
04.00.02
Кандидатская
2000
Благовещенск
78 с. : ил.; 20х15 см
Стоимость:
250 руб.
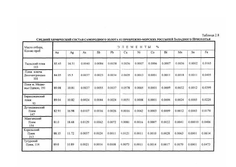
Таблица 2. Рудопрояалснис м. Тыльского 4 . Рудопроявлемис ы Андык 3 0 0 0 0 0. Рудопрояадение м е м. Б.Дуганджа 1 . Рудопроиитемие Мамга 3 . Рудопроявление Дючерма . Рудопроявлемие Кутын . Конгломераты Тугурского Рна юра . Таблица 2. Место отбора. Аскольд пляж 4 . Аскольд пляж 7 . Бухта Руднева ПЛЯЖ 7 5. Бухта Руднева Пляж 0 . Бухта Огнева Пляж . Таблица 2. Место отбора. Рудмевка влечение 7 . Рудмевка ер течение, 0. Рудневка ср. Рудненка и течение 7 . Рудневка н течение5 . Огнева влечение . Огнева ср. Огнева м гечение7 . Таблииа 2. Месторождения Аскольд 7 4 9. Конгломераты о. Аскольд . Месторождение Рудневское 3 .
| Название работы | Автор | Дата защиты |
|---|---|---|
| Устойчивые методы математического моделирования природных физико-химических систем | Шапкин, Андрей Игоревич | 1998 |
| Геохимия базит-гипербазитовых комплексов Украинского щита. Том 1. Текст | Фомин, Александр Борисович | 1983 |
| Геохимия тяжелых металлов в природных и техногенных ландшафтах Черноморского побережья России | Лавренова, Елена Александровна | 1998 |